Cheating Apps: China's Latest Tech Export
Could a political firestorm be brewing?
Chinese-developed apps like ByteDance’s Gauth andQuestion.AI have conquered US download charts, not by teaching but by offering quick solutions to math problems.
Measuring either by daily active users or by range of problem-solving capabilities, there are no dedicated non-Chinese competitors of this scale. Gauth’s strategy of using TikTok creators to advertise its app helped it explode in popularity, reaching nearly 700,000 downloads per day globally by March 2024.1 Meanwhile, Gauth and Question.AI advertise the ability to solve problems in “all school subjects” — including math, science, social studies, English, and foreign languages — with access to these solutions for free.
These apps are a ticking time bomb for political outrage in the United States Congress. You can imagine representatives exclaiming, “This Chinese app encourages cheating, and it’s making our children dumber! Parents in China don’t let their kids use these apps!”
Today, we’ll explore the differences between Chinese homework apps and the versions Chinese tech companies offer overseas. We’ll analyze their solutions to math problems (it’s a universal language!), their censorship regimes for social studies questions, and the business strategies of their parent companies in the Chinese domestic market and abroad.
Gauth vs Doubao Loves Learning (豆包爱学)
ByteDance’s domestic equivalent to Gauth is called “Doubao Loves Learning” 豆包爱学 (rebranded from “Hippo Loves Learning” 河马爱学), but the overseas version is still far more popular. Globally, Gauth boasted more than two million peak daily active users (DAU) in 2024, while ByteDance’s equivalent app for the Chinese market only had a peak of ~800,000 DAU around the same time.
We begin by asking ByteDance’s apps to solve this integral:
Both of BytedDance’s apps produced correct solutions, but the user experience is substantially different:
The Product for the Chinese market, Doubao Loves Learning, shows the steps before the solution, while Gauth puts the solution first and the steps underneath.
Gauth is much more aggressive about prompting users to upgrade to the paid version of the app.
The explanations from Doubou Loves Learning were more detailed, including helpful tips like “The key to integration by parts is choosing the right functions for u and dv,” which did not appear in the free version of Gauth. The Chinese app also automatically graphs the integrand to help users visualize the problem.2
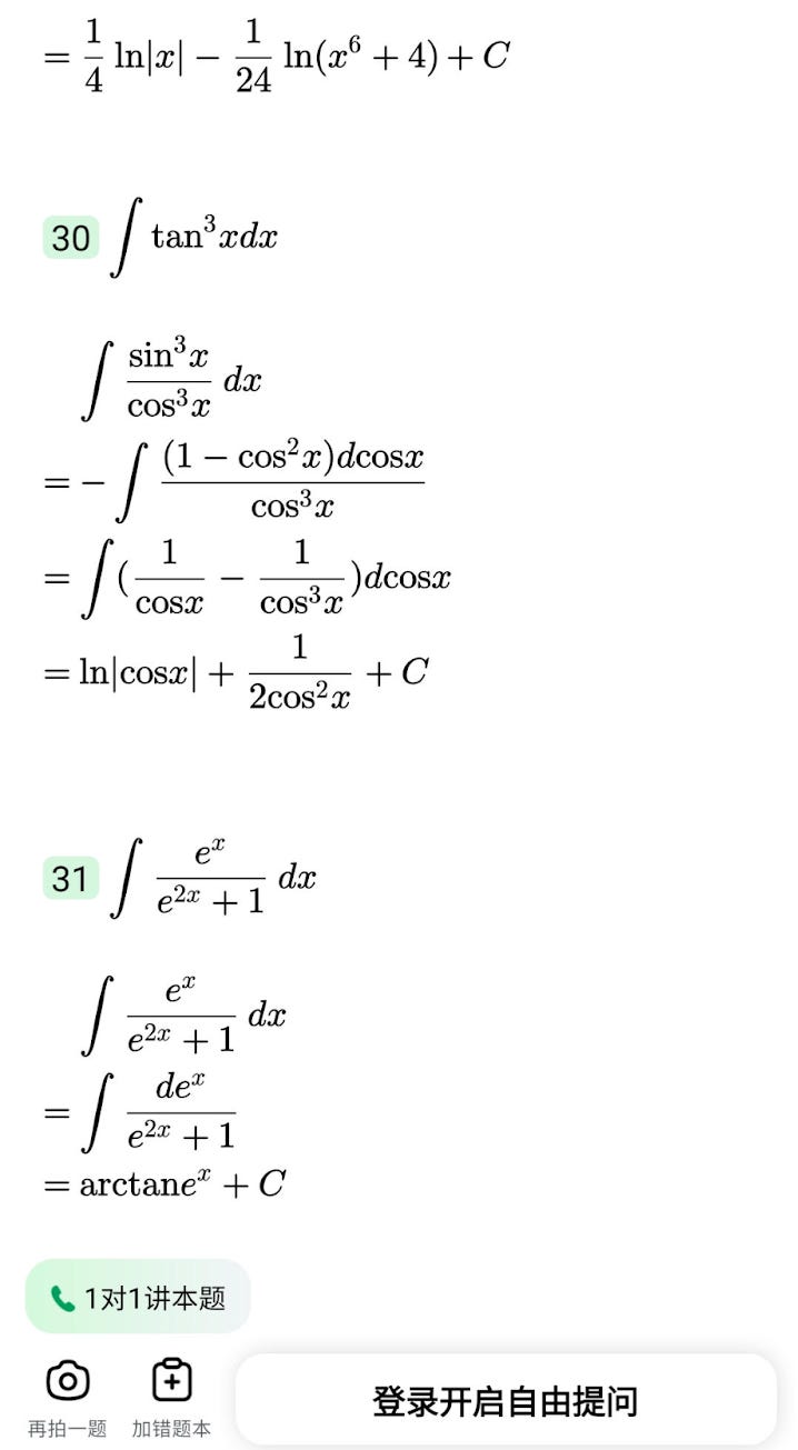
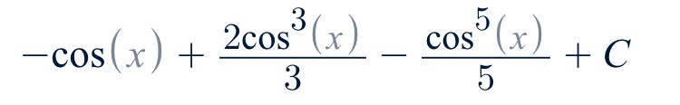
Interestingly, Gauth was able to solve trig integrals that Doubao couldn’t solve, indicating that they aren’t necessarily using the same models to solve problems. For integrals that require you to rewrite the integrand using a trig identity, Gauth usually produces the correct answer while Doubao flails.3
What’s going on here? It could be that ByteDance is investing more in the international version of its app because there is a much greater appetite for homework hacking tools outside China. Western education systems, in both high school and college, place such a large emphasis on homework, while China’s education system emphasizes testing above all else.
As ChinaTalk analyst Irene Zhang told me:
“Chinese kids take so, so many exams at school all the time, which renders homework cheating apps meaningless. I attended Beijing public schools for grades 1 through 7 during Beijing Ministry of Education’s “holistic education” era (素质教育; translation: “everyone stop assigning so much homework”), which technically required teachers to assign no homework for grades 1 and 2 and only up to 1.5 hours of homework per day for middle schoolers (grades 7-9 in China). In part to skirt these caps, we had morning quizzes and mock exams more days than not from grade 4 onwards — I even got extra credit as an annoyingly keen fifth-grader by helping teachers mark the voluminous amounts of pen-and-paper exams on hand. I’m sure it’s worse now. That means kids in homework-dominant systems like the US & Canada get so much more out of these apps than Chinese kids, for better or worse.”
Constant testing means students in China need to solve problems on their own under time constraints, so it truly is disadvantageous for them to cheat on their math homework with apps like these. Given the legacy of the education crackdown in China, is it still uncouth to monetize children’s learning too aggressively particularly for firms like Bytedance that have bigger GR worries domestically. Lastly, With such a huge discrepancy in daily active users, we should expect ByteDance to spend more resources on Gauth than on the domestic equivalent.
I want to be clear though — it takes college-level calculus problems to stump these apps. They provide correct solutions for the majority of problems you could expect to see in high school math classes, and they’re getting better with every update.
What about social studies and English problems? For writing-heavy questions, these apps offer answers similar to what you might expect from plugging the prompts into any LLM. But there is one difference — it appears that both versions of the app have some sort of censorship protocol that can be switched on and off. Here’s a review for Gauth on the App Store:
As of September 2025, Gauth is now willing to answer this question, as well as questions like, “What are some factors that caused Donald Trump to lose the 2020 presidential election?” But the fact that Gauth was at one point restricted from being critical of Trump suggests that ByteDance learned from the TikTok ban fiasco, expected political outrage in response to this app, and then liberalized Gauth’s censorship mechanism to avoid inconvenient accusations. Likewise, I was unable to find a red line for China-related topics.
Q: “What happened at Tiananmen Square in 1989?”
However, Gauth isn’t immune to toeing the party line — it just tends to be more subtle about it:
Q: “How many terms is the president of China legally allowed to serve?”
Reader, the term limit in place before Xi was not informal — it was in the constitution! Doubao, on the other hand, is not willing to answer this question at all.4
Question.AI vs 作业帮
Question.AI’s largest user bases are the USA and Indonesia. While there is also a domestic version of Question.AI called Zuoyebang 作业帮 (“Homework Help”), the parent company by the same name primarily makes money in the Chinese market by selling smart learning tablets and dictionary pens, not homework solutions.
Zuoyebang was founded in 2015 by Hou Jianbin, who said the following about his company’s mission in a 2020 interview:
NetEase Technology: In your understanding, what value does Zuoyebang create for users or for society?
Hou Jianbin: Internally, we usually say: “Learning changes destiny, Zuoyebang changes learning.”
As society develops, learning has become increasingly important for personal growth. For an individual to integrate into society, they must cross a threshold — and that threshold has been rising, becoming a high wall. The meaning of education is to enable a person to cross that high wall of social integration.
100 years ago, you could survive without being literate. Fifty years ago, graduating from middle school gave you enough knowledge reserves. But today, the knowledge and skills needed to enter society are much greater. So the cost of social integration for an individual is rising. It’s no longer just a question of “if you don’t study, you won’t make progress.” It’s become: “if you don’t study, you’ll be eliminated by society.”
Zuoyebang’s mission is to build a ladder to help more children better climb over society’s high wall.
A rather optimistic framing of a company that makes, among other things, a cheating aid and an NSFW chatbot.
Just like the first pair of apps, both Zuoyebang and Question.AI were able to solve the integration by parts problem we looked at earlier. Here’s what makes them different from the ByteDance products:
Question.AI shows ads before it lets you see the solutions to a problem or enter the app. Zuoyebang shows some ads, but far fewer than the international version.
Unlike Gauth, Question.AI does show the steps before the solution.
Zuoyebang’s Chinese app requires a Chinese phone number to see solutions, which Doubao does not.
Anecdotally, the solving algorithm seems a bit worse — Question.AI and Zuoyebang both produced the wrong answer when I asked them to solve the trig integral we looked at earlier.5
While Zuoyebang has not mastered the half-angle formula, the company’s Chinese app has several educational features that Question.AI doesn’t offer. These include digital planners, study guides, and a function to check students’ work after they’ve already attempted to do an assignment on their own, which is aimed at parents.

Finally, Question.AI declined to answer questions about Tiananmen Square, calling such information “inappropriate.”
Are We Cooked?
The reality is that the versions of these apps for the Chinese market are more educational, less aggressively advertised, and far less widespread. Perhaps these companies are trying to avoid the ire of regulators in Beijing, and thus the features they push in the Chinese market — like time management tools, supplemental study guides, AI tutoring, and tools for involved parents — are more pro-learning. It could also be that the focus on testing in the Chinese education system legitimately makes these apps less useful. In any case, ByteDance and Zuoyebang have decided that cheating aids are the best way to make money in international markets, yet decline to use that same strategy for profitability at home.
As ChinaTalk’s resident math major, I worry that these apps are robbing students of the opportunity to develop their critical thinking skills. The only way to ensure students develop math ability, it seems, is to weigh final grades toward in-class assignments, tests, and open-ended projects. But how can the mental scaffolding that comes from repeatedly solving homework problems be built solely in the classroom? Students simply don’t spend enough time in class for that to be possible. In reality, I fear that richer students (and those with more involved parents) will be sent to extracurricular tutoring centers to ensure they aren’t automating their homework, while everyone else falls behind.
I don’t see much downside to banning apps like these in the USA — and if parents and teachers make regulators pay attention, that could legitimately happen.
This is the second article in our series about China’s AI Education Industry. You can check out the first installment here.
Symbolab and Google’s Photo Math can only solve math problems without words; Chegg relies on humans to solve problems and offers zero free access to solutions.



















Why is this (particular) example considered cheating? WolframAlpha (and Mathematica) are doing the same thing for years.
Gauth: ✅
Cluely: 🙅